Capped Swap
FinPricing offers:
Four user interfaces:
- Data API.
- Excel Add-ins.
- Model Analytic API.
- GUI APP.
| 1. Capped Swap and Floored Swap Introduction |
A capped swap is an interest rate swap with an interest rate
cap option where the floating rate of the swap is capped at a certain level while a floored
swap is an interest rate swap with a floor option where the
floating rate of the swap is floored at a certain level. Capped swaps or floored swaps limit the risk of the floating
rate payer or receiver to adverse movements in interest rates.
A capped swap can be decomposed into a interest rate swap and a cap whereas a
floored swap can be decomposed into a interest rate swap and a floor. Given the
optionality, an up-front fee or premium has to be paid by the floating rate payer for a capped swap and an up-front
fee or premium has to be paid by the floating rate receiver for a floored swap.
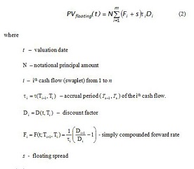
| 2. Capped Swap and Floored Swap Valuation |
There are four types of capped or floored swap.
They can be decomposed as follows.

The present value of a fixed leg is given by

The present value of a floating leg can be expressed as

The present value of a cap is given by

The present value of a floor is given by

| 3. Related Topics |