FX Option
FinPricing offers:
Four user interfaces:
- Data API.
- Excel Add-ins.
- Model Analytic API.
- GUI APP.
FinPricing provides valuation tools for the following FX products:
| 1. Currency Option Introduction |
An FX Option is a financial contract that grants the buyer the right but not the obligation to exchange money denominated in one currency into another currency at a pre-agreed exchange rate on a specified future date.
FX options could be be call options, put options, European options, or American options. Call options give the holder the right to purchase an underlying currency at a specified FX rate on a future date, while Put options give the holder the right to sell an underlying currency at a specified FX rate on a future date. A European option can be exercised only at the expiration date of the option, whereas an American option can be exercised anytime during its life.
Currency options are one of the most common tools for investors to hedge against exchange rate risk in currency market. Investors buy calls when they think the FX rate will rise or sell a call if they think it will fall. They can also buy puts if they think the FX rate will fall, or sell one if they think it will rise.
FX options allow the investors to benefit from favorable FX rate movements. They are also useful tools which can be easily combined with Spot and currency Forward contracts to create varioups hedging strategies, such as bullish, bearish and even neutral strategies.
| 2. Forex Option Market |
A fact in the FX option market is that options are quoted on their Deltas, rather than on strikes as observed in other options markets. For example, a trader will quote volatility for a call option which has a Δ of 25%.>
In the FX option world, there are various ways to define a Delta. Specifically, it can be classified into: Right/Left Delta, and Spot/Forward Delta.
We denote by S(t) the value of a given exchange rate at time t. Let Df (t; T) and Dd(t; T) be the foreign and domestic discount factors for maturity T, F(t; T) the forward exchange rate. For the ease of notation, the default current time is set to be 0. Let us use a call option to illustrate the various de¯nitions of delta.
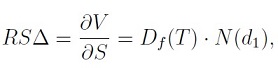
The Right Spot Delta is defined as:

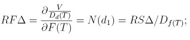
The Right Forward Delta is:

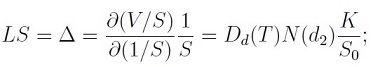
The Left Spot Delta is:

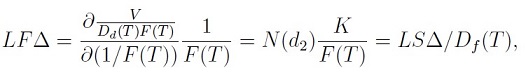
The Left Forward Delta is:

The Right Delta is also called Without Premium Delta. Symmetrically, the Left Delta is also called With Premium Delta. As we can see from the definitions, the Left and Right actually mean which currency you would like to start with to assess the risk.
The FX options market is characterized by quotes on the volatilities of at the money (ATM), risk reversal (RR) and butterfies. RR is built by buying a call and selling a put with a symmetric Delta. The ATM volatility is that of 0Δ straddle, i.e. at this particular strike, put and call have the same Δ but with difference signs. Based on this definition, it is straightforward to derive the ATM strike price as:

In the market, RR is quoted as the di®erence between two implied volatilities of the call option and the put option at the same moneyness level:
25 RR = 25 Delta Call Vol – 25 Delta Put Vol
Market quotes on RR are able to re°ect the demand of option contract. More specifically, a positive risk reversal implies that the volatility of calls is greater than the volatility of puts of similar moneyness, which means that more market participants are betting on a rise rather than a drop of currency value.
Butterflies are constructed by selling a quantity of ATM straddle and buying a quantity of %Δ strangle. Butterfly volatility is the average of the difference between the volatility of the call option and put option minus the ATM volatility:
25 BF = (25 Delta Call Vol + 25 Delta Put Vol)/2 - ATM
Given implied volatilities and deltas, it is possible to infer the implied strikes. For the Right Delta case, it is trivial, since the strike price K appears only once in the equation. As a result, explicit solutions exist. Again use call option for instance. The implied strike for right spot delta is:

| 3. Valuation |
FX markets use a Delta/volatility quotation convention instead of strike/volatility and there are four types of Delta and three types of at-the-money (ATM) strike definitions currently used.
FX markets quote reliable and liquid volatilities for at most five Deltas (ATM, 25% Call and Put, 10% Call and Put), exposing a very large portion of the Delta/volatility range to model risk.
The market expresses vanulla European option prices in volatility terms. That is, it uses the Model implied volatility to express the price of an option.
One challenge for pricing FX option is to construct volatility surface. It needs to find the associated strike for a given delta.
For major pairs, one can use Spot Delta definition up and including anchor term 1 year, and Forward Delta beyond 1 year. Other developed market currencies tend to follow these conventions. Emerging market currencies tend to use forward Delta across all terms. You should make sure that the correct conventions are used.
For the computation of the Adapted Greeks, when one “bumps” one of the variables involved in the volatility smile surface construction, then the whole algorithm is run again in order to reflect the new state.
Put and call options on a currency are symmetrical in that a put option to sell 10 units of currency A for 15 units of currency B is the same as a call option to buy 15 units of currency B for 10 units of currency A.
| 4. Related Topics |