Accumulator


FinPricing offers:

Four user interfaces:

  • Data API.
  • Excel Add-ins.
  • Model Analytic API.
  • GUI APP.
View:

Accumulator


FinPricing provides valuation tools for the following products:

  • Accumulator Fader In
  • Accumulator Fader Out
  • Accumulator Fader Call/Put
  • Accumulator Fader American/European
  • Accumulator Fader Discrete/Continuous Barriers
  • Accumulator Fader Keep Accrued
  • Accumulator Swap with Barrier
  • Accumulator Swap with Leverage
  • Accumulator Swap with Guarantee
  • Accumulator Swap with Prepayment
  • Check FinPricing valuation models

Accumulators are the accrual type of structured product written on a different underlying. If the underlying is a fader or faderbar option, it is called accumulator fader. If the underlying is a forward accrual or forward accrual bar option, it is called accumulator forward or forward accumulator.

Accumulator contracts have exotic payoff patern that is a highly path dependant. They are usually settled at a series of fixing and settlement dates. Depending on fader type, the holder of the option will obtain or lose the right to exercise an option at or after the observation date. It can be elaborated with the help of the following diagram:

Accumulator diagram

A fade option is a contract that exists or dies if a barrier is breached on a preset date. Therefore the barrier type can be up-cross or down-cross; the exercise type can be knock-in or knock-out; and the underlying vanilla can be call or put.

In accumulator faders, there are two fade types: Fader In is the progressive activation of the nominal and Fade Out is the progressive deactivation of the nominal. A fader-in/out option is a barrier option where the barriers are observed at future observation dates. The observation dates are prior or equal to the contract maturity date. The barrier type can be up-cross or down-cross and the exercise type can be knock-in or knock-out.

Barrier type can be None, Out, Up&Out, Down&Out. Bar up represents an upper barrier level, while bar down represents a lower barrier level. Barrier style can be American or European barrier. For an American barrier, the underlying spot is checked for barrier breaches continuously between option issue and option maturity; for a European barrier, the barriers are only checked when the option fixes

The accrued nominal could be used depending on an underlying barrier condition. Accumulator barrier (In/Out) options are accrual type of options written on an underlying fader option or forward accrual option, with an extra barrier characteristic. Both accrued and remaining notional are lost in case of hitting the barrier or it is also possible to keep the accrued amount.

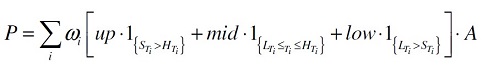
Payoff can be the accumulation of a vanilla option or a forward option. Accumulation rate can be in the upper region, mid region, or lower region. The payoff at expiry of the an accumulator can be expressed in the following manner

Accumulator payoff diagram

where A is computed differently for different underlying.

Sometimes, the accrued amount can be retained even if the option knocks out. There may be a single high range or low range used in the accumulation factor. If the barrier is knocked before fixing date, the payoff is the kept accrued amount or none. If the note is exercised at any settlement date, the payoff is the cash settlement amount written on the accrued quantity with respect to the option payoff.

A accumulators offers a potentially higher income that attracts investors, especially in low interest rate environment. The note normally pays the holder an increased accrued amount. The higher returns are generated by leveraging through the used of derivatives. However, due to the fader features, it has a limited upside and downside potential as the note may be knocked out when hiting barriers.

Accumulator contracts linked to foreign currency has become very popular among various investments. It is called as FX accumulator Fader. There are also equity linked accumulators and commodity linked accumulators.

Settlement convention can be immmediate settlement or delay settlement. Under immediate settlement, the holder will receive the assets or cash immediately. While under delay settlement, there is a lag between fixing date and settlement date.

A accumulator fader example is shown below:

NameValue1Value2Value3
Trade Date2021-10-15  
Observation Interval10 days  
Option TypeAmerican  
Accrued TypeKeep Accrued  
Payoff TypeCall  
Fader TypeFader In  
Strike1  
Global Low Barrier1.2  
Global High Barrier1.4  
High Rate20%  
Mid Rate60%  
Low Rate30%  
Fixing Dates2022-10-152023-10-152024-10-15
Settlement Dates2022-10-222023-10-222024-10-22
Payment Dates2022-10-232023-10-232024-10-23
Weights0.20.50.7
High Range1.11.31.5
Low Range0.90.50.7
Pay CurrencyUSD  
Stock IDsEUR-USD 

An accumulator swap is a swap on a single asset. The contract makes discrete cash payments in exchange for asset shares as long as the asset price does not hit a pre-defined barrier. The barrier condition is triggered when the asset price exceeds the upper barrier or falls below the lower barrier on any discrete observation dates.

The accumulation factor is reset at the end of each accumulation period and is incremented by certain number of shares per observation on each observation date. The swap exchanges an accumulated cash amount for shares at the end of each accumulation period as long as the barrier condition is not triggered. If the barrier provision is triggered in the middle of an accumulation period, the swap is immediately terminated by exchanging a partial accumulated amount.

A guaranteed period can be specified. This defines a date range where if the trigger takes place, the accumulation of shares to the end of the guarantee period immediately takes place.

The option can be leveraged so as to increase the accumulation factor. An independent asset price threshold can be set for leveraged accumulation. The leverage factor is not covered by the guarantee.

A typical accumulator swap is shown below:

NameValue1Value2Value3Value4
Pay CurrencyUSD   
Stock IDsStockTicker   
Strike90.00   
Knock-out Barrier110.00   
Barrier TypeHigh   
Payout Participation100.00%   
LeverageTRUE   
Leverage Factor1.00   
Leverage Barrier107.00   
Observation IntervalDaily   
Guarantee Period End Date2023-07-03   
Shares Per Observation1.00   
Accumulation Period End Dates2015-04-042015-05-032015-06-032015-07-04
Accumulation Settlement Dates2015-04-062015-05-042015-06-032015-07-06

Related Topics