Asian Option
FinPricing offers:
Four user interfaces:
- Data API.
- Excel Add-ins.
- Model Analytic API.
- GUI APP.
FinPricing provides valuation models for the following equity Asian options:
All the equity models in FinPricing take volatility skew/smile and dividend into account.
| 1. Asian Equity Option Introduction |
An Asian option or average option is a special type of option contract where the payoff
depends on the average price of the underlying asset over a certain period of time. The payoff is different from the
case of a European option or American option, where the
payoff of the option contract depends on the price of the underlying stcok at exercise date.
Asian options allow the buyer to purchase (or sell) the underlying asset at the average price instead of the spot
price. Asian options are commonly seen options over the OTC markets. Average price options
are less expensive than regular options and are arguably more appropriate than regular
options for meeting some of the needs of corporate treasurers. Average can be calculated in a
number of ways (daily, weekly, monthly, etc.).
One advantage of Asian options is that they reduce the risk of market manipulation of the underlying instrument at
maturity. Another advantage of Asian options involves the relative cost of Asian options compared to
European options or American options. Because of the
averaging feature, Asian options reduce the volatility inherent in the option; therefore, Asian options are typically
cheaper than European options or American options.
Asian options have relatively low volatility due to the averaging mechanism. They are used by traders who are exposed
to the underlying asset over a period of time. The Asian option can be used for hedging and trading Equity Linked Notes
issuance. The arithmetic average price options are generally used to smooth out the impact from high volatility periods
or prevent price manipulation near the maturity date, which makes the options less expensive.
| 2. Asian Equity Option Valuation |
The payoff of an average price call is max(0, Savg – K) and that of an average price put is max(0, K- Savg),
where Savg is the average value of the underlying asset calculated over a predetermined averaging period.
If the underlying asset price, S, is assumed to be lognormally distributed and Savg is a geometric average of the S’s,
analytic formulas are available for valuing European average price options. This is because the geometric average of
a set of lognormally distributed variables is also lognormal.
When, as is nearly always the case, Asian options are defined in terms of arithmetic averages, exact analytic pricing
formulas are not available. This is because the distribution of the arithmetic average of a set of lognormal distributions
does not have analytically tractable properties.
However, the distribution of arithmetic average can be approximated to be lognormal by moment matching technical,
which leads to a good analytic approximation for valuing average price options. One calculates the first two moments
of the probability distribution of the arithmetic average in a risk-neutral world exactly and then fit a lognormal
distribution to the moments.
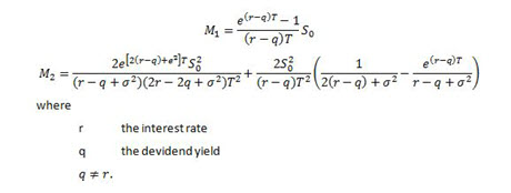
Consider a newly issued Asian option that provides a payoff at time T based on the arithmetic average between time zero and time T. The first moment, M1 and the second moment, M2, of the average in a risk-neutral world can be shown to be

By assuming that the average asset price is lognormal, you can use Black’s model to price an Asian option.
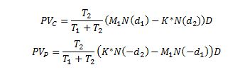
The present value of an Asian call option is given by

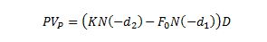
The present value of an Asian put option is given by

We can modify the analysis to accommodate the situation where the option is not newly issued and some prices used to
determine the average have already been observed.
Suppose that the averaging period is composed of a period of length T1 over which prices have already been observed and a future period of length T2 (the remaining life of the option). Suppose that the average asset price during the first time period is S. The payoff from an average price call is

When K* > 0, the option can be valued in the same way as a newly issued Asian option provided that we change the strike price from K to K* and multiply the result by T_2/(T_1+T_2)

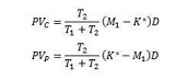
When K* < 0 the option is certain to be exercised and can be valued as a forward contract. The value is

Practical Notes
First calculate the spent average based on realized spot price.
Then compute the adjusted strike using the spent average
After that obtain the first and second moments.
Use the moments to get the adjusted volatility.
Finally calculate the present value via BlackScholes formula.
FinPricing is using the Turnbull-Wakeman model. Another well-known model is the Levy Model
| 3. Related Topics |